關于對原產于美國、韓國和歐盟的進口三元乙丙橡膠反傾銷調查最終裁定的公告
【發布單位】中華人民共和國商務部
【發布文號】布告2020年第60號
【發布日期】2020-12-18
根據《中華人民共和國反傾銷條例》(以下稱《反傾銷條例》)的規定,2019年6月19日,商務部(以下稱調查機關)發布2019年第29號布告,決定對原產于美國、韓國和歐盟的進口三元乙丙橡膠(以下稱被調查產品)停止反傾銷立案調查。
對自2020年10月28日至2020年12月19日有關進口經營者依初裁布告向中華人民共和國海關所提供的保障金,按終裁所確定的征收反傾銷稅的產品范圍和反傾銷稅稅率計征并轉為反傾銷稅,并按相應的增值稅稅率計征進口環節增值稅。在此期間有關進口經營者所提供的保障金超出反傾銷稅的部分,以及由此多征的進口環節增值稅部分,海關予以退還,少征部分則不再征收。
初步裁定后,調查機關對傾銷和傾銷幅度、侵害和侵害程度以及傾銷與侵害之間的因果關系停止了繼續調查。現本案調查完畢,根據《反傾銷條例》第二十五條規定,調查機關作出最終裁定(見附件)。現就有關事項布告如下:
一、最終裁定
調查機關最終認定,原產于美國、韓國和歐盟的進口三元乙丙橡膠存在傾銷,國內三元乙丙橡膠產業受到實質侵害,而且傾銷與實質侵害之間存在因果關系。
重慶君正新型復合材料有限公司為您提供管道封堵氣囊,氣囊內模芯模,氣囊式千斤頂,儲存氣體氣囊,船用下水氣囊,支架式水池,背負式水袋,森林消防水池,軟體儲運水袋,軟體儲運油囊,試壓吊重水袋,集裝箱液袋,沙石轉運儲存袋 ,金屬轉運儲存袋,粉塵轉運儲存袋,復合材料系列,橡膠復合材料,PVC復合材料,TPU復合材料,EVA復合材料,PE膜復合材料等產品二、征收反傾銷稅
調查范圍:原產于美國、韓國和歐盟的進口三元乙丙橡膠。
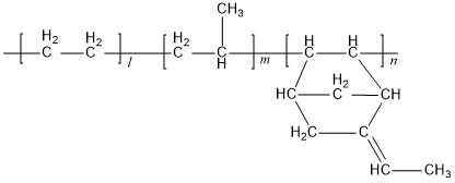
被調查產品的詳細描繪如下:
根據《反傾銷條例》第三十八條規定,商務部向國務院關稅稅則委員會提出征收反傾銷稅的倡議,國務院關稅稅則委員會根據商務部的倡議作出決定,自2020年12月20日起,對原產于美國、韓國和歐盟的進口三元乙丙橡膠征收反傾銷稅。
被調查產品名稱:三元乙丙橡膠。
英文名稱:Ethylene-Propylene-non-conjugated Diene Rubber或Ethylene Propylene Diene Monomer(EPDM)
化學構造式:

物理化學特性:三元乙丙橡膠是乙烯、丙烯以及非共軛二烯烴的三元共聚物,常溫下外觀為白色或者微黃色固體,易于混合。三元乙丙橡膠的物理性能、化學特征和加工性能主要因聚合體的分子構造不同而異,而與分子構造相關的因素有第三單體品種、門尼粘度和充油含量等各種要素。三元乙丙橡膠具有較好的耐老化性、耐化學品性、耐低溫性及介電性能。
主要用途:三元乙丙橡膠用途比較寬泛,可用于建筑、電線電纜、汽車工業、交通等領域。建筑方面,主要用于屋頂單層防水卷材等;電線電纜方面,主要用于民用和商用建筑的電力輸入線、建筑機械用電纜、礦用電纜、核電站用電纜、汽車點火線、控制及信號電纜等;汽車工業方面,主要用于汽車、卡車和公共汽車非輪胎部件,包括汽車的水箱及耐熱膠管、密封條、橡膠帶、車身及底盤的部件、擋雨條、底板和環管等;交通方面主要應用于車輛車門窗密封條、減震、止水帶等。
該產品歸在《中華人民共和國進出口稅則》:40027010和40027090。
對各公司征收的反傾銷稅稅率如下:
美國公司
1. 陶氏化學公司 222.0%
(The Dow Chemical Company)
2. 埃克森美孚公司 214.9%
(Exxon Mobil Corporation)
3. 阿朗新科美國有限公司 219.8%
(ARLANXEO USA LLC)
4. 美國獅子彈性體有限公司 219.8%
(Lion Copolymer Geismar,LLC)
5. 其他美國公司 222.0%
(All Others)
(All Others)
1. 錦湖POLYCHEM株式會社 12.5%
(KUMHO POLYCHEM Co.,Ltd.)
2.樂天瑋薩黎司彈性體有限公司 21.1%
四、反傾銷稅的追溯征收
3.其他韓國公司 24.5%
韓國公司
歐盟公司
1. 阿朗新科荷蘭有限公司 18.1%
(ARLANXEO Netherlands B.V.)
2. 埃克森美孚化工法國公司 14.7%
(ExxonMobil Chemical France (ExxonMobil Chemical France Société par Actions Simplifiée))
2020年12月18日
(Versalis S.p.A.)
4. 其他歐盟公司 31.7%
韓國公司
三、征收反傾銷稅的辦法
自2020年12月20日起,進口經營者在進口原產于美國、韓國和歐盟的三元乙丙橡膠時,應向中華人民共和國海關繳納相應的反傾銷稅。反傾銷稅以海關審定的完稅價格從價計征,計算公式為:反傾銷稅額=海關完稅價格×反傾銷稅稅率。進口環節增值稅以海關審定的完稅價格加上關稅和反傾銷稅作為計稅價格從價計征。
(Lotte Versalis Elastomers Co.,Ltd.)
調查機關對被調查產品是否存在傾銷和傾銷幅度、被調查產品是否對國內三元乙丙橡膠產業形成侵害及侵害程度以及傾銷與侵害之間的因果關系停止了調查。根據調查結果和《反傾銷條例》第二十四條規定,2020年10月23日,調查機關發布初裁布告,初步認定原產于美國、韓國和歐盟的進口三元乙丙橡膠存在傾銷,國內三元乙丙橡膠產業受到實質侵害,而且傾銷與實質侵害之間存在因果關系。
七、期間復審
五、征收反傾銷稅的期限
對原產于美國、韓國和歐盟的進口三元乙丙橡膠征收反傾銷稅的施行期限自2020年12月20日起5年。
六、新出口商復審
關于美國、韓國和歐盟未在調查期內向中華人民共和國出口被調查產品的新出口經營者,合乎條件的,可根據《反傾銷條例》第四十七條的規定,向調查機關書面申請新出口商復審。
對臨時反傾銷措施施行之日前進口的原產于美國、韓國和歐盟的三元乙丙橡膠不追溯征收反傾銷稅。
在征收反傾銷稅期間,有關利害關系方能夠根據《反傾銷條例》第四十九條的規定,向調查機關書面申請期間復審。
八、行政復議和行政訴訟
對本案終判決定及征收反傾銷稅的決定不服的,根據《反傾銷條例》第五十三條的規定,能夠依法申請行政復議,也能夠依法向人民法院提起訴訟。
九、本布告自2020年12月20日起執行。
附件:中華人民共和國商務部關于原產于美國、韓國和歐盟的進口三元乙丙橡膠反傾銷調查的最終裁定.pdf
中華人民共和國商務部
3. 意大利瑋薩黎司有限公司 16.5%
本文轉載自網絡,如有侵權,請聯絡刪除。